ネットワークスペシャリスト の 5門
第1問
在庫管理システムを対象とするシステム監査において,当該システムに記録された在庫データの網羅性のチェックポイントとして,適切なものはどれか。
設定された選定基準に従って,自動的に購入業者を選定していること
適正在庫高であることを,責任者が承認していること
適正在庫量を維持するための発注点に達したときに,自動的に発注していること
入庫及び出庫記録に対して,自動的に連番を付与していること
ネットワークスペシャリスト の 5門
第2問
LANケーブルに関する記述として、適切なものはどれか。
LANケーブル内の対になった導線がより線となっているのは、導線に発生する外来ノイズを減らすためであり、ケーブル内のすべての対のピッチは均一のほうが効果が高い。
カテゴリ5eのUTPケーブルは1000BASE-Tで利用される非シールドより対線であり、2本の導線が4対納められている。
カテゴリ6のUTPケーブルを使用する1000BASE-TXでは、1対のより線で250Mビット/秒のデータを上り下り同時に送り、4対合計で1Gビット/秒の全二重通信を実現している。
対線は2本の導線の電位差で情報を伝え、この対線に発生する外来ノイズの大きさは2本の導線の間隔に反比例する。
ネットワークスペシャリスト の 5門
第3問
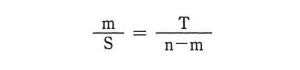
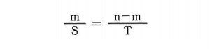
1台のCPUの性能を1とするとき、そのCPUをn 台用いたマルチプロセッサの性能p が、
で表されるとする。ここで、a はオーバヘッドを表す定数である。例えば、a =0.1、n =4とすると、p ≒3なので、4台のCPUからなるマルチプロセッサの性能は約3倍になる。この式で表されるマルチプロセッサの性能には上限があり、n を幾ら大きくしてもある値以上には大きくならない。a =0.1の場合、Pの上限値は幾らか。
5
10
15
20
ネットワークスペシャリスト の 5門
第4問
データの追加・変更・削除が,少ないながらも一定の頻度で行われるデータベースがある。このデータベースのフルバックアップを磁気テープに取得する時間間隔を今までの2倍にした。このとき,データベースのバックアップ又は復旧に関する記述のうち,適切なものはどれか。
フルバックアップ1回当たりの磁気テープ使用量が約2倍になる。
フルバックアップ1回当たりの磁気テープ使用量が約半分になる。
フルバックアップ取得の平均実行時間が約2倍になる。
ログ情報によって復旧するときの処理時間が平均して約2倍になる。
ネットワークスペシャリスト の 5門
第5問
利用者認証情報を管理するサーバ1台と複数台のアクセスポイントで構成された無線LAN環境がある。PCが無線LANに接続されるときの利用者認証とアクセス制御に、IEEE 802.1XとRADIUSを利用する場合の実装方法はどれか。
PCにはIEEE 802.1Xのサプリカントを実装し、かつ、RADIUSクライアントの機能をもたせる。
アクセスポイントにはIEEE 802.1Xのオーセンティケータを実装し、かつ、RADIUSクライアントの機能をもたせる。
アクセスポイントにはIEEE 802.1Xのサプリカントを実装し、かつ、RADIUSサーバの機能をもたせる。
サーバにはIEEE 802.1Xのオーセンティケータを実装し、かつ、RADIUSサーバの機能をもたせる。