ITパスポート試験(アイパス) の 5門
第1問
機能が随時追加されるWebポータルシステムのサービス提供者が,提供中のITサービスを一覧できる利用者向けのカタログを作成した。カタログの内容に関する記述として,適切なものはどれか。
ITに詳しくない利用者にもサービス内容が理解できるようにする。
維持管理のコストが掛からないように更新は年1回にまとめて実施すべきである。
記述の厳密性を高めるために利用者に分かりにくくなっても専門用語を多用する。
サービス提供者が説明しやすい形式でITサービスのカタログを作成する。
ITパスポート試験(アイパス) の 5門
第2問
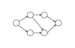
ある部品の生産ラインは二つの工程A,Bの順で構成されており,各工程の機械台数,部品1個の生産に要する作業時間,不良率は表のとおりである。1日の稼働時間を10時間とするとき,この生産ラインの1日の生産能力(良品が生産される数)は何個か。ここで,工程Aでの不良品は工程Bには送らないものとする,。また,機械の故障時間や段取り時間,工程間の仕掛品在庫は考えないものとし,仕掛中のものは終了時間が来ても最後まで仕上げるものとする。
171
180
200
257
ITパスポート試験(アイパス) の 5門
第3問
プロジェクトの人的資源の割当てなどを計画書にまとめた。計画書をまとめる際の考慮すべき事項に関する記述のうち,最も適切なものはどれか。
各プロジェクトメンバの作業時間の合計は,プロジェクト全期間を通じて同じになるようにする。
プロジェクト開始時の要員確保が目的なので,プロジェクト遂行中のメンバの離任時の対応は考慮しない。
プロジェクトが成功することが最も重要なので,各プロジェクトメンバの労働時間の上限は考慮しない。
プロジェクトメンバ全員が各自の役割と責任を明確に把握できるようにする。
ITパスポート試験(アイパス) の 5門
第4問
0Sに関する記述のうち,適切なものはどれか。
1台のPCに複数のOSをインストールしておき,起動時にOSを選択できる。
OSはPCを起動させるためのアプリケーションプログラムであり,PCの起動後は,OSは機能を停止する。
OSはグラフィカルなインタフェースをもつ必要があり,全ての操作は,そのインタフェースで行う。
OSは,ハードディスクドライブだけから起動することになっている。
ITパスポート試験(アイパス) の 5門
第5問
マルチコアプロセッサに関する記述のうち,最も適切なものはどれか。
1台のPCに複数のマイクロプロセッサを搭載し,各プロセッサで同時に同じ処理を実行することによって,処理結果の信頼性の向上を図ることを目的とする。
演算装置の構造とクロック周波数が同じであれば,クアッドコアプロセッサはデュアルコアプロセッサの4倍の処理能力をもつ。
処理の負荷に応じて一時的にクロック周波数を高くして高速処理を実現する。
一つのCPU内に演算などを行う処理回路を複数個もち,それぞれが同時に別の処理を実行することによって処理能力の向上を図ることを目的とする。